Top categories
Quick Links


Place here any module, widget, design or HTML. for example menu, categories

Cart

Your shopping cart is empty!

Sub-Total: $0.00
Total: $0.00

REMEDIA PUBLICATIONS - SERVING EDUCATORS SINCE 1978

Rempub.com
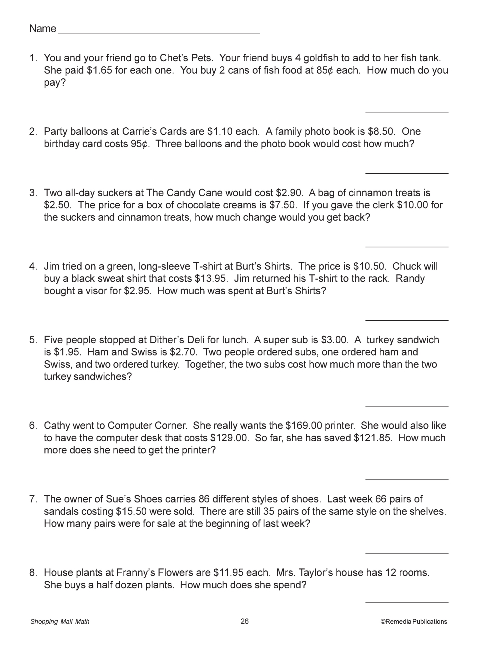
Let's Go Shopping and Improve Essential Math Skills!
Make learning fun while boosting essential life skills with these interactive Google Slides! Featuring 25 different real-life shopping locations, students are presented with an illustration of various items found within each store and their corresponding price tags. Interactive lessons ask students a variety of questions and challenge them to add, subtract, and multiply as needed. A really fun and practical way to improve math skills!

STORES INCLUDE:
  • Computer Corner
  • Shorty's Sports
  • Ice Cream Island
  • Cool Clothes
  • Sue's Shoes
  • Slim's Salad Bar
  • The Candy Cane
  • Dale's Drugstore
  • Franny's Flowers
  • Cal's Cameras
  • Vic's Videos
  • Carrie's Cards
  • Hobby House
  • Bill's Bicycles
  • Mall Movies
  • Tiny's Toy Town
  • Read More Books
  • Dither's Deli
  • Burt's Shirts
  • Chet's Pets
  • Apple's Appliances
  • Gifts Galore
  • Bee's Bed and Bath
  • Janelle's Jewelry
  • And More...

WHAT ARE TEACHERS SAYING ABOUT SHOPPING MALL MATH?

"A creative way to make math practice practical and relevant." - Natalie D.

"Great for progress monitoring IEP goals." - Danielle S.

"Love this resource. Just what i needed..." - Elizabeth L.

"My students really enjoyed doing this." - Karen B.

"Great to have a problem solving resource that is different to others. The pictures work very well. The questions cater for many different learning levels. Some challenging problems for kids who need extension." - Nat M.

"Perfect for my practical math unit." - Michelle D.
Let's Go Shopping and Improve Essential Math Skills!
Make learning fun while boosting essential life skills with these interactive Google Slides! Featuring 25 different real-life shopping locations, students are presented with an illustration of various items found within each store and their corresponding price tags. Interactive lessons ask students a variety of questions and challenge them to add, subtract, and multiply as needed. A really fun and practical way to improve math skills!

STORES INCLUDE:
  • Computer Corner
  • Shorty's Sports
  • Ice Cream Island
  • Cool Clothes
  • Sue's Shoes
  • Slim's Salad Bar
  • The Candy Cane
  • Dale's Drugstore
  • Franny's Flowers
  • Cal's Cameras
  • Vic's Videos
  • Carrie's Cards
  • Hobby House
  • Bill's Bicycles
  • Mall Movies
  • Tiny's Toy Town
  • Read More Books
  • Dither's Deli
  • Burt's Shirts
  • Chet's Pets
  • Apple's Appliances
  • Gifts Galore
  • Bee's Bed and Bath
  • Janelle's Jewelry
  • And More...

WHAT ARE TEACHERS SAYING ABOUT SHOPPING MALL MATH?

"A creative way to make math practice practical and relevant." - Natalie D.

"Great for progress monitoring IEP goals." - Danielle S.

"Love this resource. Just what i needed..." - Elizabeth L.

"My students really enjoyed doing this." - Karen B.

"Great to have a problem solving resource that is different to others. The pictures work very well. The questions cater for many different learning levels. Some challenging problems for kids who need extension." - Nat M.

"Perfect for my practical math unit." - Michelle D.

SHOPPING MALL MATH: Math Word Problems - PDF & Google Set

  • Product Code: EREM 515EGC

  • Viewed: 9044
  • Availability: In Stock

$13.99


Online payment
Instant Access to your Digital eBook purchase
24x7 Service
0/50 reviews
Write a review
Please login or register to review

Little Spender Game

$9.99 $17.99
4% Claimed
29% Claimed

Word Usage Speedway Game

$13.99 $19.99
1% Claimed
38% Claimed